在得知中国女科学家屠呦呦获得2015年度“诺贝尔生理学或医学奖”这一令国人振奋的消息后,化学系出身的笔者第一时间查阅了文献数据库,希望通过还原早期青蒿素发现和发展的全过程来致敬这一伟大壮举。
早期文章
在能够追溯到的文章中,最早一篇以屠呦呦为作者的文章名为《中药鑑别經驗的学习心得》(中药鉴别经验的学习心得),于1962年刊登在《中医杂志》上(中医杂志,1962年06期),讲述的是三十岁出头的屠呦呦来到药材公司探访,学习药材的鉴别经验后有感而发整理出来的要点。

中药鑑别經驗的学习心得
青蒿素相关
1969年1月,“523”项目正式任命屠呦呦为课题组长,很快在当年4月便编辑了以640方药为主的《抗疟方药集》。1971年屠呦呦团队提出用乙醚低温提取青蒿有效成分,从青蒿成株叶子中性提取部分获得对鼠疟、猴疟疟原虫100%抑制率。1972年3月,屠呦呦在南京召开的抗疟药内部会议上公开了全部内容。1973年经临床确证,有效成分为青蒿中的抗疟活性单体,抗疟新药由此诞生。由于早期关于青蒿素的研究并没有相关的文献,笔者找到了屠呦呦所著的化学工业出版社出版的《青蒿及青蒿素类药物》一书(化学工业出版社,2009年),本书介绍了包括未以文献形式出版部分在内的整个青蒿素发展历程。

《青蒿及青蒿素类药物》
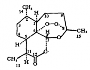
屠呦呦的代表作之一便是于1977年刊登在《科学通报》杂志上名为《一种新型的倍半萜内酯—青蒿素》(科学通报,1977年03期),该文的署名作者为“青蒿素结构研究协作组”。文章阐述了协作组从菊科植物黄花蒿(Artemisia annua L.)中分离出的结晶,并命名为“青蒿素”。他们利用高分辨质谱、元素分析、光谱数据和X-射线分析法确定了青蒿素的分子式、结构式及晶体学数据,利用红外光谱及化学分析法鉴定了结构中奇特的过氧基团,为后续的研究打好了分子层面的基础。

一种新型的倍半萜内酯—青蒿素
随后,屠呦呦所在的北京中医研究院中药研究所与中国科学院上海有机化学所合作在1979年《化学学报》上发表名为《青蒿素(Arteannuin)的结构和反应》的文章(化学学报, 1979年5月第37卷第2期),详细阐述了如何证明青蒿素分子中存在过氧键的研究过程。在那个研究手段匮乏的年代,科学家们设计了巧妙的实验,攻克了这一难题。此外还确定了其绝对构型。

青蒿素(Arteannuin)的结构和反应
同年,青蒿研究协作组在《药学通报》上发表了名为《抗疟新药青蒿素的研究》的文章(药学通报,1979年第14卷第2期)。文中引用了中国医药古籍中对于青蒿的表述,例如“晋?代葛洪《肘后备急方》治疟病方载有:‘青蒿一握,以水二升渍,绞取汁尽服之’ ”等。并在介绍青蒿素基本物理化学性质及结构的基础上,深入研究了其对鼠疟原虫和食蟹猴疟原虫的抑制效果,并利用小鼠进行了实验。除此之外,更总结了1973-1978年2099例疟疾病人临床试验的结果。

抗疟新药青蒿素的研究
1982年相继在《Journal of traditional Chinese medicine》上发表名为《China Cooperative Research Group on qinghaosu and its derivatives as antimalarials.》的多篇文章,综合阐述了青蒿素的各种性质和临床效果。
自1979年开始,上海有机化学所的周维善等人开始了青蒿素这一复杂分子的全合成过程,历时5年,他们实现了青蒿素的全合成,他们的系列论文《青蒿素及其一类物结构和合成的研究》发表在1984年的《化学学报》上(化学学报,1984年第42期)。

青蒿素及其一类物结构和合成的研究
至此,中国科学家早期关于青蒿素的提取,分子鉴定及全合成部分圆满完成。
其他文献
关于此次获奖,我们也找到了北京大学生命科学院饶毅教授等人于2011年刊登在《科学文化评论》中《中药的科学研究丰碑》一文(科学文化评论,2011年第8卷第4期)。文章对在文革期间依旧坚守工作岗位,并获得重大发现的屠呦呦和张亭栋做出了高度评价(后者揭示了砒霜化学成分三氧化二砷对白血病的治疗作用)。除此之外,对于两位科学家迟迟未至的认同表示惋惜。文中谈到“中国和世界肯定张亭栋和屠呦呦等,不仅是对他们迟到的感谢,也有利于中国和世界认识到中药是尚为充分开发的宝库”。与此同时,文章也提供了很多相关的历史文献目录,很好地总结并宣传了两位科学家光辉的工作历程。

中药的科学研究丰碑
青蒿素的发现和发展过程凝聚了老一代中国科学家的心血,拯救了成千上万人的生命,在此向所有相关的科研工作者致敬!
(文中观点仅代表个人看法,如有不当之处请批评指正)